
I’ve written a lot of late about Saturn’s icy moon, Enceladus. Covered by an icy crust, there is a good chance this distant moon harbours a liquid water ocean beneath that ice. NASA’s Cassini mission has imaged geyser plumes erupting through the ice, and the speculation is that if Enceladus does have an ocean beneath its crust. Now that speculation has been given a sizeable boost.
As a result of a long-term study, on April 13th, 2017 NASA announced the icy plumes of Enceladus contain hydrogen. This is a huge finding; not only does this main the plumes are water vapour, it directly points to a geo-chemical / geo-thermal interaction taking place deep within Enceladus between warm water and rocks which could provide an energy source of microbes.
Current thinking is that life requires three things to get started: water, energy, and the right chemicals. As we know from Earth’s deep oceans, sunlight doesn’t actually enter into the equation; hydrothermal vents provide the energy to support – albeit on a fragile basis – an entire ecosystem from bacteria at the base of the food chain, through tube worms, shrimp, crabs and more. This could well be the case with Enceladus.
As the hydrogen is vented, it is possible that any microbes present in the water of Enceladus could use hydrogen and dissolved carbon dioxide in the water to produce methane in a process called biomethanation (or methanogenesis), one of the foundation processes of life on Earth.
The hydrogen was measured using Cassini’s Ion and Neutral Mass Spectrometer (INMS) instrument. Designed to sample the upper atmosphere of Saturn’s moon Titan, INMS was turned towards Enceladus to follow-up on several discoveries of plumes emanating from the moon’s southern regions dating back as far as 2005.
“This is the closest we’ve come, so far, to identifying a place with some of the ingredients needed for a habitable environment,” Thomas Zurbuchen, associate administrator for NASA’s Science Mission Directorate stated in reference to the report.
Linda Spilker, Cassini project scientist at NASA’s Jet Propulsion Laboratory added, “Confirmation that the chemical energy for life exists within the ocean of a small moon of Saturn is an important milestone in our search for habitable worlds beyond Earth.”
NASA’s Orion / SLS Ambitions Face Delays
In February I wrote about NASA possibly re-scheduling the first flights of their new Space Launch (SLS) rocket system so that the maiden flight could include a crew aboard the Orion Multiple-Purpose Crew Vehicle due to fly as a part of the mission, rather than flying it as an uncrewed mission, and then flying a crew on a second later mission.
Such a move would mean the initial flight of SLS, referred to as Exploration Mission 1 (EM-1), would need to be put back from 2018 to 2019 (at the earliest), to allow time for the Orion vehicle to be correctly outfitted and tested for a crewed mission. However, a new report from NASA indicates that Orion itself may not be ready in time to meet and EM-1 launch in either 2018 or 2019.

The report, published on April 14th, 2017, highlights three significant areas of concern for the programme. The first is that design changes made to Orion’s heat shield now raise technical risks which need to be eliminated. The second is that the Service Module for Orion, which is being developed by the European Space Agency, is facing delays. The third – which is particularly underlined in the report, is that critical software required by both the SLS / SLS systems and need for ground systems at the Kennedy Space Centre in Florida, will not be ready in time.
As a result of the report, NASA is now weighing pushing back the SLS / Orion launch schedule. Nor do the programme’s woes end there; the report also questions NASA’s ability to achieve its longer-term goals with regards to SLS, Orion and Mars, citing the fact that there is no clear roadmap for developing systems (such as a deep-space habitat module, lander / ascent vehicles, etc.) vital for Mars missions.
Without such a roadmap being put in place within the next few years, the report indicates it will be impossible to tell if planned Orion / SLS project expenditure – which is slated to rise to US $23 billion in 2018 and to US $33 billion (including Mars systems expenditure) by 2030 – will be sufficient for the space agency to meet its goals.
An Earth-Sized Telescope and a Supermassive Black Hole
Supermassive black holes (SMBHs) have also been the subject of a recent piece in Space Sunday. Believed to reside at the centre of most galaxies, SMBHs exert an extremely powerful influence on everything around them, but given their nature, all attempts to study them has been confined to indirect methods.

However, we may soon have our very first direct image of a black hole – the one at the centre of our own galaxy, 25,000 light years from Earth and believed to have a mass of around 4 million Suns. It lies within the heart of the galaxy in a region called Sagittarius A*, an in April 2017, a radio telescope effectively the size of the Earth was used to image the region.
Called the Event Horizon Telescope (EHT), the telescope is in fact a network of up to nine (at present) radio telescope systems spread across four continents of the world. These give astronomers a virtual telescope with a Very Long Baseline Interferometry (VLBI) capability far beyond anything which might otherwise be achieved, as Michael Bremer, a project manager for the Event Horizon Telescope, explains.
“Instead of building a telescope so big that it would probably collapse under its own weight, we combined eight observatories like the pieces of a giant mirror. This gave us a virtual telescope as big as Earth—about 10,000 km [6,200 mi] in diameter.”

Since it began capturing data in 2006, the EHT has been dedicated to the study of Sagitarrius A*. Specifically, scientists involved in the study hope to determine if black holes are surrounded by a circular region from which matter and energy cannot escape – the infamous event horizon – as predicted by Einstein’s General Relativity (and hence the array’s name).
Using eight telescopes in the network as far apart as Hawaii, Spain and Antarctica, the EHT observed Sagittarius A* over six nights between Wednesday, April 5th and Tuesday, April 11th. During that time, some 500 terabytes of data was gathered by the different telescopes, which should allow astronomers to construct an image of the region – including the event horizon of any SMBH which may be there.

I say “should”, because the data is going to require a considerable amount of processing via supercomputer, which will be carried out at the Haystack Observatory at the Massachusetts Institute of Technology. However, it won’t be until 2018 that the first image is likely to be published. This is because the data gathered by the South Pole Telescope in Antarctica cannot be transmitted to MIT, but has to be collected – and that will not happen until spring comes to Antarctica in October 2017. So we’re going to have a wait a while for the first direct image of a black hole.
“SS John Glenn” Launch to be 360-degree Live Streamed
If all goes according on plan, on Tuesday, April 18th a United Launch Alliance Atlas V booster should lift-off from Space Launch Complex 41 at Cape Canaveral Air Force Station in Florida. It will be carrying aloft CRS OA-7, an uncrewed Enhanced Cygnus resupply vehicle carrying around 3.4 tonnes (7,600 pounds) of supplies, equipment and experiments to the International Space Station (ISS).
The resupply vehicle, built by Orbital ATK, is informally named the “SS John Glenn” in honour of the first American to orbit the Earth, who passed away on December 8th, 2016. The mission itself is a routine resupply flight to the ISS except for one special detail: it will be live streamed by NASA in a 360 degree video broadcast, the first such 360-degree live stream of a rocket launch in the world.

The launch is currently slated for 11:11am EDT on the morning of Tuesday, April 18th, and will be broadcast on NASA TV – including through the NASA Television YouTube channel, starting some 10 minutes prior to lift-off.
Help Find Exoplanets
Exoplants – planets orbiting other stars in our galaxy – are a popular topic among astronomers, planetary scientists and the media. We’ve recently been awash with reports on them, thanks to news about the 7-planet TRAPPIST-1 system (see here, here, and here), the news about an Earth-sized planet orbiting Proxima Centauri and the confirmation of a Earth-sized planet with an atmosphere.
You might think the discovery of such distant worlds is purely the purview of professional astronomers pouring over masses of data gathered from the Kepler Space Telescope and the Hubble Space Telescope. And you’d be right. It does require carefully sifting through masses of data. But the purview of professionals? Not at all.
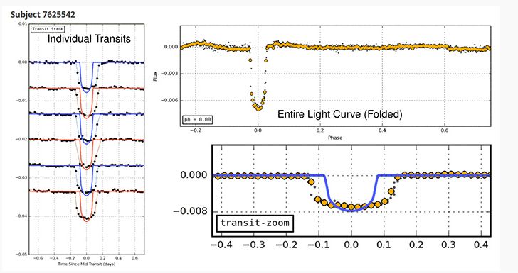
Exoplanet Explorers is a “citizen scientist” programme which encourages and empowers amateur astronomers and those with a passion for finding exoplanets with an opportunity to join the search and – perhaps – be the first to discover one or more planets orbiting other stars. This is precisely what happened to Australian mechanic and amateur astronomer Andrew Grey in April 2017.

Grey was one of many Australians who responded to a call from the Australian Broadcasting Company’s Stargazing Live (A spin-off of the BBC programme of the same name broadcast in the UK, and featuring some of the same presenters in the form of Professors Brian Cox and Chris Linott). In the show, Australians were encouraged to join Exoplanet Explorers and start going through the data.
Grey was one of many Australians who did just that, checking out more than 1,000 stars in his first night’s work, looking for the characteristic dips in the data which indicate s drop in a star’s brightness which may be the result of a planet passing between it and the Kepler observatory.
Around 1,000 possible candidate stars were located in a 48-hour period following the show’s broadcast. However, Grey became the first to be told he had achieved a positive hit, discovering four “super Earth” planets (about double the size of Earth) orbiting extremely close to a star in the Aquarius constellation 600 light years away. As a result of his find, his name will appear on a scientific paper reporting the discovery, and he’ll be credited with the system’s discovery – and he may not be alone.
A GIF animation of the planetary system discovered by Andrew Grey. Each of the four planets is roughly twice the size of Earth, and all four orbit their parent star closer than Mercury orbits the sun, meaning they are unlikely to harbour life – and probably do not have atmospheres. Credit: Zoonverse.
Such is the nature of the Exoplanet Explorer’s website, it is entirely possible other citizen scientists have also identified one or more of the four “super Earths” – or even evidence of other planets orbiting the same star at a much greater distances, so work is being carried out to ensure all those with a hand in the discovery are identified and credited.
Thus far, more than 7,000 volunteers classified over 1.5 million points of interest as part of the Exoplanet Explorers programme, and over 10,000 people world-wide are sifting through the data. Chris Linott, Stargazing Live co-host and leading light behind Zooniverse, which coordinates the website, put this effort into perspective.
“From experience, we’re talking the equivalent of a single astronomer working for a couple of years straight, no coffee breaks, no nipping to the loo [bathroom],” he said. Of this particular effort he added, “In the seven years I’ve been making Stargazing Live this is the most significant scientific discovery we’ve ever made. The results are astonishing.”
So – if you’re at all interested in astronomy and the idea of distant worlds orbiting other stars, then why not join the hunt at Exoplanet Explorers?